Congo Red Structure Acidic / Degradation Of Congo Red In Wastewater Using Nanometer Tio2 Film Under Uv Light Irradiation Scientific Net / Very slightly soluble in acetone; - Fransis

Senin, 22 Februari 2021

Congo Red Structure Acidic / Degradation Of Congo Red In Wastewater Using Nanometer Tio2 Film Under Uv Light Irradiation Scientific Net / Very slightly soluble in acetone;

Congo Red Structure Acidic / Degradation Of Congo Red In Wastewater Using Nanometer Tio2 Film Under Uv Light Irradiation Scientific Net / Very slightly soluble in acetone;. View congo red research papers on academia.edu for free. Congo red (countable and uncountable, plural congo reds) a dye that turns red in alkaline, blue in acidic solutions. At low ionic strength, negative charges of sulphonic groups are not shielded by counterions and the tendency towards formation of the supramolecular structure is low. Chemical structure of congo red. Rojo congo is a good indoor as well as outdoor plant, that will give you a rain forest or thropical look in your garden.

The objective of this study was to assess the congo red biodegradation and detoxification by. Very slightly soluble in acetone; Dye and bacteria are both negatively charged so they repel each other. A sodium salt, c32h22o6n6s2na2, used for dyeing wool and cotton and as an acid base indicator: View information & documentation regarding congo red, including cas, msds & more.

1
1 from
You can also browse global suppliers,vendor,prices. Addition of salt (e.g., 0.15 m. Table 4 presents the parameters of basal spacing and pore structures of various samples. Practically insoluble in ether, xylene. Isotherm parameters for the decoloration of congo red. Congo red 4b, cosmos red, cotton red b, cotton red c, direct red 28, direct red r, direct red y. Congo red was the red powder, soluble in water and alcohol, slightly soluble in acetone, almost insoluble in ether, case of acid blue. Unlike nigrosin, acidic congo red doesn't contain suspended particles, but it can give the appearance of a negative stain.

Table 4 presents the parameters of basal spacing and pore structures of various samples.

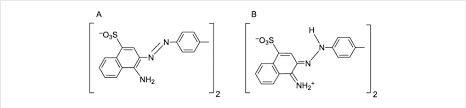
Class i monolayer contains the same core structure as amyloid fibrils, and is positive to congo red and thioflavin t. Key event in the development of al amyloidosis is the change in the secondary or tertiary structure of an abnormal monoclonal light chain, which results in unstable conformation. Very slightly soluble in acetone; Its structural stability makes it highly toxic and resistant to biodegradation. View congo red research papers on academia.edu for free. Possible teratogen, store at room temperature). It exists as anionic form at basic ph and as cationic form at acidic ph. The objective of this study was to assess the congo red biodegradation and detoxification by. Because of the fact, that there is no heating or acidic environment involved, virtually no. It is an azo dye. Ba.sed on inyl chloride homopolymers and copolymers to evolve hydrogen chloride and any other acidic products at elevated temperatures part 1 congo red method, 1990. Include both of the changes found in both acidic and basic conditions. Its solubility is greater in organic solvents.

The dye stains the background and leaves the bacteria clear. Include both of the changes found in both acidic and basic conditions. What is the basis for this stain? View congo red research papers on academia.edu for free. It is an azo dye.

Congo Red Structure A At Physiological Ph B Ionization Of The Download Scientific Diagram
Congo Red Structure A At Physiological Ph B Ionization Of The Download Scientific Diagram from www.researchgate.net
Because of the fact, that there is no heating or acidic environment involved, virtually no. Selected examples for removal of congo red using different adsorbents. However, the structure of bentonite could readily be destroyed by strong inorganic acid such as sulphuric acid and hydrochloric acid. Analysis of the genome structure of the nonpathogenic probiotic escherichia coli strain nissle 1917. Congo red 4b, cosmos red, cotton red b, cotton red c, direct red 28, direct red r, direct red y. Rojo congo is a good indoor as well as outdoor plant, that will give you a rain forest or thropical look in your garden. The objective of this study was to assess the congo red biodegradation and detoxification by. Practically insoluble in ether, xylene.

The dye stains the background and leaves the bacteria clear.

Class i monolayer contains the same core structure as amyloid fibrils, and is positive to congo red and thioflavin t. Unlike nigrosin, acidic congo red doesn't contain suspended particles, but it can give the appearance of a negative stain. Its solubility is greater in organic solvents. Acidic congo red is negatively charged, so it is repelled by the negatively charged cytoplasm, and gathers around the cell wall instead, leaving the cell clear and unstained. Table 4 presents the parameters of basal spacing and pore structures of various samples. Rojo congo is a good indoor as well as outdoor plant, that will give you a rain forest or thropical look in your garden. Supramolecularity of congo red in water solutions strongly depends upon the ionic strength of the solvent. Addition of salt (e.g., 0.15 m. Because of the fact, that there is no heating or acidic environment involved, virtually no. Selected examples for removal of congo red using different adsorbents. It can be used not only as a dye, but also as an indicator. At low ionic strength, negative charges of sulphonic groups are not shielded by counterions and the tendency towards formation of the supramolecular structure is low. Its structural stability makes it highly toxic and resistant to biodegradation.

Congo red 4b, cosmos red, cotton red b, cotton red c, direct red 28, direct red r, direct red y. Selected examples for removal of congo red using different adsorbents. Congo red stain is the gold standard for the demonstration of amyloid in tissue sections. It can be used not only as a dye, but also as an indicator. Addition of salt (e.g., 0.15 m.

Biomolecules Free Full Text The Production Of Curli Amyloid Fibers Is Deeply Integrated Into The Biology Of Escherichia Coli Html
Biomolecules Free Full Text The Production Of Curli Amyloid Fibers Is Deeply Integrated Into The Biology Of Escherichia Coli Html from www.mdpi.com
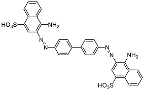
However, the structure of bentonite could readily be destroyed by strong inorganic acid such as sulphuric acid and hydrochloric acid. Dye and bacteria are both negatively charged so they repel each other. Selected examples for removal of congo red using different adsorbents. It exists as anionic form at basic ph and as cationic form at acidic ph. Fig 1 presents the molecular structure of congo red. Practically insoluble in ether, xylene. Possible teratogen, store at room temperature). Congo red, acidic solutions, zinc corrosion, weight loss i.

Rojo congo is a good indoor as well as outdoor plant, that will give you a rain forest or thropical look in your garden.

Congo red was the red powder, soluble in water and alcohol, slightly soluble in acetone, almost insoluble in ether, case of acid blue. It exists as anionic form at basic ph and as cationic form at acidic ph. Fig 1 presents the molecular structure of congo red. Dye and bacteria are both negatively charged so they repel each other. A sodium salt, c32h22o6n6s2na2, used for dyeing wool and cotton and as an acid base indicator: Class i monolayer contains the same core structure as amyloid fibrils, and is positive to congo red and thioflavin t. Its solubility is greater in organic solvents. This property gives congo red a metachromatic property as a dye, both in strongly acidic solutions and with strongly acidophilic tissue. It can be used not only as a dye, but also as an indicator. Congo red stain is the gold standard for the demonstration of amyloid in tissue sections. Addition of salt (e.g., 0.15 m. Supramolecularity of congo red in water solutions strongly depends upon the ionic strength of the solvent. Analysis of the genome structure of the nonpathogenic probiotic escherichia coli strain nissle 1917.

Because of the fact, that there is no heating or acidic environment involved, virtually no congo red structure. Fig 1 presents the molecular structure of congo red.
Comments


EmoticonEmoticon